Как проявляется гравитация?
Мы стоим на Земле, ходим по ней и падаем на нее благодаря гравитации. Гравитация обеспечивает вращение Луны вокруг Земли, вызывая при этом приливы, и вращение Земли вокруг Солнца, обеспечивая смену времен года.
Но все это — вполне заметные человеку эффекты, связанные с законом всемирного тяготения Исаака Ньютона. Существуют же и другие эффекты, не заметные человеку без измерительных приборов, связанные с гравитацией. Эти эффекты были предсказаны Альбертом Эйнштейном в его «Общей теории относительности». О них мы и поговорим в этой статье.
Чем массивнее объект, тем более мощное поле тяготения он создает вокруг себя,
Искривление времени заключается в том, что чем ближе часы находятся к источнику гравитации (например, звезде или планете), тем более медленно они идут (по нашим оценкам, поскольку, если бы мы двигались вместе с часами, мы бы не заметили замедления времени). В самом экстремальном случае это можно показать на примере черной дыры. Когда часы подлетают достаточно близко к черной дыре, они полностью останавливаются. И с нашей точки зрения такие часы будут падать на черную дыру бесконечно долго.
На Земле, например, в результате гравитационного поля Солнца, разница между показаниями часов, расположенных на экваторе и на полюсах, за сутки достигает величины порядка 15 нс. Что и регистрируют современные приборы. Теория относительности Эйнштейна многократно доказывалась экспериментально. Но в свое время А. Эйнштейн получил Нобелевскую премию не за теорию относительности, а за открытие закона фотоэффекта, поскольку Нобелевскую премию вручают за экспериментально доказанные факты. А в то время теория относительности оставалась лишь теорией, хотя и произвела кардинальные изменения в физике. Кстати, за достижения в математике Нобелевскую премию не вручают.
Также скорость хода часов меняется с высотой. На высоте 10 км часы идут быстрее, чем на поверхности Земли, но разница намного меньше, чем 15 нс.
Здесь можно сказать пару слов о парадоксе близнецов. Сам феномен: когда один близнец улетает на корабле, долго летает и затем возвращается на Землю, он будет моложе, чем его брат, оставшийся на Земле. И суть парадокса: когда один близнец летит на корабле в одну сторону, его брат одновременно «летит на Земле» с такой же скоростью в противоположном направлении, ввиду относительности движения. Поэтому братья находятся в равноправных условиях. И не понятно, почему один должен стареть быстрее другого. Эта задача решается, если учесть гравитационное влияние. И действительно, брат, оставшийся на Земле, постареет быстрее.
Гравитационное взаимодействие — самое дальнодействующее из всех известных. Оно «держит всю Вселенную вместе» и является самым важным в астрономии. Многие физики занимаются проблемой поиска гравитационных зарядов.
Обновлено 22.07.2020





Доказательство связи вспышки на Солнце и землетрясения 11 марта 2011 года в Японии. Землетрясение магнитудой около 9 баллов произошло в точке с координатами 38,322 градуса с.ш. 142,369 градусов в.д. в 14:46 по местному времени, в 05:46:23 по времени UTC, 08:46 по московскому времени.
10 марта 2011 г. на Солнце происходит сильнейшая вспышка класса Х
Время московское. Начало вспышки 02:13:00. Максимум 02:23:00. Окончание 02:29:00.
Прошу обратить внимание на график окончания вспышки, она явно заканчивается позднее, то есть время 02:46 попадает в график вспышки. Далее смотрим по графику и видим, что 10 марта 2011 г. в 08:46, график вспышек резко опускается вниз, значительно ниже уровня вспышки класса С, а это значит, что в это время поток частиц с Солнца резко сократился и стал ниже нормы. Через 6 часов произошла резкая смена потока частиц от Солнца, сначала отклонение потока частиц было в сторону увеличения, а через 6 часов отклонение потока частиц в сторону уменьшения. Следующая резонансная вспышка произошла: Начало вспышки 17:21:00. Максимум 17:24:00. Окончание 17:28:00. Смотрим график и видим, что вспышка закончилась явно позднее, время 17:46 попадает в эту вспышку. Время 17:46, это время, которое показывает, что прошло 15 часов после сильнейшей вспышки, и показывает, что после анти вспышки, то есть от 08:46 прошло 9 часов. Везде промежутки времени кратны 3 часам. Далее смотрим график вспышек на Солнце и видим в 20:46 резкое уменьшение потока частиц от солнца, анти вспышка, график резко ушёл к классу А. От последней вспышки в 17:46 так же прошло 3 часа. Следующая резонансная вспышка происходит 11 марта 2011 г. Начало в 05:24:00. Максимум 05:29:00. Окончание 05: 36:00. Смотрим на график и видим окончание вспышки, когда пересекает линию С, гораздо позднее, резонансное время 05:46 попадает в эту вспышку. От анти вспышки в 20:46 до вспышки 05: 46 прошло 9 часов, промежуток времени кратен 3 часам. В 08: 46 по московскому времени начинается землетрясение, в это время на графике резкое уменьшение потока частиц от Солнца, анти вспышка. Солнце предупредило о предстоящем землетрясении за 30 часов. Три анти вспышки с интервалом в 12 часов. Как видим, это землетрясение вызвали частицы нейтрино, антинейтрино, которые являются носителями магнитных монополий и частицы фотоны, которые воздействуют на поверхность Земли, а жёсткие фотоны проникают на какое-то расстояние внутрь Земли. Расчёт проводился от вспышки класса Х, ориентируясь на время землетрясения, и чтобы исключить ошибки, все попадающиеся в резонанс вспышки, сверялись по графику. Время полёта указанных частиц составляет около 8 минут. Частицы электроны, позитроны и некоторые другие так же почти со скоростью света достигают Земли. А следом Землю накрывает Солнечный ветер. Вывод. Землетрясение произошло от вспышки на Солнце. При этом землетрясении погибло: « 15 892 человек, 2 576 человек числятся пропавшими без вести.» Википедия. Землетрясение в Японии (2011). У побережья Японии в гигантскую воронку затянуло большой корабль. Очевидно, в образовании торнадо, циклонов в океанах, извержения вулканов причастны вспышки на Солнце. А, следовательно, после больших вспышек на Солнце, во избежание катастроф, надо отменять полёты на самолётах, предупреждать моряков о возможной надвигающейся катастрофе.
0 Ответить
За материал поставил "5". Но, почитав комменты, усомнился в правильности своего решения. Александр, зря Вы так - все в одну кучу. Различные временные парадоксы рассматриваются, как правило, в условиях движения на световых или околосветовых скоростях. Ускорение? Это несколько другая тема...
Да Вы и сами можете это сделать, если рассматривать и скорость, и импульс, и силу тяжести. Даю подсказку: Энштейн говорил, что при скоростях, близких к скорости света, масса стремится к бесконечности. Какая при этом будет гравитация даже от клавиатуры корабельного компутера!
И еще: Вам что-нибудь говорит формула "Е равно эм цэ квадрат пополам?"
Кстати, беря из Вашей статьи или из комментов отдельные высказывания, могу легко "доказать", что близнецы останутся одинакового возраста, а также то, что постареть раньше другого может любой из них.
Оценка статьи: 5
0 Ответить
Уважаемый, А. А, спасибо Вам за комментарий, но видите ли, довольно сложно вот так вот изложить теорию гравитаци, хоть даже ее маленькую часть.
Вам что-нибудь говорит формула "Е равно эм цэ квадрат пополам?"
Если Вы имеете ввиду энергию тела в состоянии покоя, то она просто эм цэ квадрат, без пополам.
Кстати, беря из Вашей статьи или из комментов отдельные высказывания, могу легко "доказать", что близнецы останутся одинакового возраста, а также то, что постареть раньше другого может любой из них.
Что ж, попробуйте доказать. Дело в том, что Вам потребуются две формулы - о зависимости времени от ускорения и о зависимости времени от скорости. Если Вы их знаете, то, думаю, сможете посчитать. В коментариях их нет, я пробовал объяснить "на пальцах". Видимо, не очень успешно.
Но дома лежит конспект с прошлого года. Там эти формулы есть.
Энштейн говорил, что при скоростях, близких к скорости света, масса стремится к бесконечности. Какая при этом будет гравитация даже от клавиатуры корабельного компутера!
А насчет большой гравитации, так никто не говорит о скорости света, а только о скорости, сравнимой с ней. Если она будет меньше скорости света в два раза, то гравитация будет больше нашей обычной лишь на 15 %.
0 Ответить
Вместо того, чтобы говорить по делу, будем объяснять "на пальцах" теорию гравитации? Ну-ну...
Не! Я пас, господин Ментор!
Оценка статьи: 5
0 Ответить
Вам же статья понравилась.
В коментариях меня стали спрашивать, как что получается.
Так как я не собирался писать на непонятном большинству людей языке, то пришлось объяснять теорию гравитации "на пальцах".
Кстати, был такой физик, Ричард Фейнман, лауреат нобелевской премии. Он, в частности, знаменит своими лекциями, которые физики называют "лекциями для домохозяек". На этих лекциях он на "пальцах" объясняет весь курс общей физики для студентов, может быть даже для студентов-физиков. Одну из его книг Вы можете найти здесь
0 Ответить
Помню свое знакомство с гравитацией, когда в детстве, падая с дерева, встретился с землей…
0 Ответить
Ты не прав.
Оценка статьи: 1
0 Ответить
хорошая статья! я даже вспомнил школьные уроки по физике и астрономии. занятненько, занятненько!
Оценка статьи: 5
0 Ответить
Александр, вы не перестаете меня удивлять широтой своих интересов!
Хотя лично мне кажется, что познавательные статьи вам удаются лучше, чем философские
0 Ответить
Спасибо. А это потому, что философских статей я не пишу. ;)
0 Ответить
Ну, не знаю, как еще назвать - на морально-этические темы? В общем, вы меня поняли
0 Ответить
Кстати, судя по оценкам и по их количеству, статьи на познавательные темы не пользуются популярностью. И это понятно. Потому что они практически не несут пользы.
Поэтому, получается у меня или нет, но я буду стараться писать о том, что может именить к лучшему жизнь людей.
0 Ответить
Конечно, понял. Но философию я не люблю. Я люблю Бога.
0 Ответить
Поэтому братья находятся в равноправных условиях. И не понятно, почему один должен стареть быстрее другого. Эта задача решается, если учесть гравитационное влияние. И действительно, брат, оставшийся на Земле, постареет быстрее.
Совершенно безграмотное утверждение. Гравитация абсолютно ни при чем, парадокс близнецов возникает на скорости, близкой к световой. А тут выходит, что стоит улететь с Земли на орбиту, как перестанешь стареть, потому что там "нет гравитации". Это просто неверно. За такую статью нужно ставить даже не 1, а МИНУС.
0 Ответить
Да уж, Вы как всегда добры.
Ну что можно сказать человеку, который считает, что на орбите нет гравитации и так рьяно настаивает на своем? Разве что посочувствовать...
Или же все-таки попробовать еще раз объяснить. К тому же, может быть кому-то это интересно.
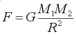
Гравитация - это одно из четырех фундаментальных взаимодействий. Гравитация пропорциональна массе тел и обратно пропорциональна квадрату расстояния между ними (см. формулу).
Гравитации нет только на огромных расстояниях от звезд. Когда R из формулы стремится к бесконечности, F стремится к нулю.
Спутник, вращающийся по орбите вокруг Земли, находится в ее гравитационном поле. Он не падает на Землю потому, что центростремительная сила, вызванная вращением вокруг Земли, компенсирует ее тяготение. Тогда вес (сила, с которой тело действует на опору или подвес) становится равным нулю. Потому что вес равен разности центростремительной силы и силы тяготения. Но гравитация не равна нулю.
Кстати, из условия равенства силы гравитации центростремительной силе, находят значение первой космической скорости. Это минимальная скорость, которой должно обладать тело, чтобы стать спутником планеты. Она направлена по касательной к поверхности планеты. И для Земли равна примерно 7.9 км/с. При такой скорости орбита спутника имеет форму окружности. Если скорость больше (но меньше второй космической, которая для Земли равна 11.2 км/с), то орбита имеет форму эллипса.
0 Ответить
Не поняла, это кто, я считаю, что на орбите нет гравитации? Или в статье так получается?
Ведь именно в статье сказано, что близнец, который летает, постареет меньше чем домосед, потому что в космосе нет гравитации. Хотя во-первых, она там есть, а во-вторых парадокс близнецов никаким боком не связан ни с какой гравитацией (или с ее отсутствием), а связан с движением на скорости, сравнимой со скоростью света.
Вообще это, конечно, слишком объемные темы для маленькой статьи в глянцевом журнале.
0 Ответить
Нет желания пересказывать все заново. В статье и комментариях все правильно.
При ускорении (торможении) время замедляется не только за счет большой скорости, но и из-за гравитационного поля (ускорения). а при движении с постоянной скоростью - только за счет скорости. Даже не смотря на то, что движение с постоянной скоростью происходит на большие расстояния, его вклад в уменьшение времени намного меньше.
Если учитывать только скорость, то эффекта не будет, поскольку относительно близнеца, летящего в корабле, близнец-"домосед" тоже летит со скоростью, близкой к световой.
0 Ответить
ещё у беляева был рассказ основанный на этом "эффекте близнецов"..
0 Ответить
А вот насчет парадокса блтзнецов я когда-то давно читала, что во время возвращения на Землю близнец очень быстро состарится и сравняется с братом. Или я что-то не так поняла?
0 Ответить
А вот насчет парадокса близнецов я когда-то давно читала, что во время возвращения на Землю близнец очень быстро состарится и сравняется с братом. Или я что-то не так поняла?
По возвращении на Землю они встретятся, и тот, который летал, будет моложе того, кто оставался на Земле.
0 Ответить
Ага, вспомнила, этот парадокс должен быть связан не с гравитацией, а с движением со скоростью света. У Эйнштейна это так.
0 Ответить
Эффект проявляется в ускорении а не скорости. Это разные вещи.
0 Ответить
Приведу пример. Вы стоите в лифте. Если бы Вы не знали, что находитесь на Земле, и следовательно, испытываете ее притяжение, то могли бы подумать, что Вы движитесь с ускорением вверх.
Так что движение с ускорением можно заменить на гравитационное поле.
Чтобы близнецу лететь со скоростью света, ему сначала нужно разогнаться до таковой. И именно фактор ускорения определяет сам парадокс.
0 Ответить
А при возвращении идет торможение. Оно что, никак не влияет?
А правда хочу понять.
0 Ответить
А при возвращении идет торможение. Оно что, никак не влияет?

А правда хочу понять.
Тогда держитесь.
Когда один близнец улетает на корабле, он ускоряется. Затем летит с постоянной скоростью. Пусть расстояние, которое он пролетит с постоянной скоростью, намного больше расстояния, на котором он ускоряется. Это нужно для того, чтобы показать, что ускорение играет большую роль, чем скорость. Затем корабль тормозит, разворачивается и повторяет то же самое в обратном направлении.
Весь путь от Земли и обратно можно разбить на 2 различных движения (4 ускорения-торможения и 2 движения с постоянной скоростью).
Ускорение и торможение с точки зрения математики эквивалентны и отличаются только знаком (+/-).
При ускорении (торможении) время замедляется не только за счет большой скорости, но и из-за гравитационного поля (ускорения). а при движении с постоянной скоростью - только за счет скорости. Даже не смотря на то, что движение с постоянной скоростью происходит на большие расстояния, его вклад в уменьшение времени намного меньше.
P.S. Движение рассматривается в системе отсчета, связанной с Землей.
Вот-так вот.
0 Ответить
Да, физика серьезная наука, в школе как то не сложилось, этот предмет остался загадкой. Теперь некоторые вещи понятны
спасибо
0 Ответить
Рад, что Вам понравилось.
0 Ответить